Skip to content

Chap 3: Interpolation and Polynomial Approximation

约 6648 个字 10 张图片 预计阅读时间 27 分钟

如果一个函数 $y = f(x) $ 的计算过于复杂,甚至这个函数就是未知的,一种近似求解的办法是:首先在一组点 \(x_0, \cdots, x_n\) 上计算出函数值 \(y_0 = f(x_0), \dots, y_n = f(x_n)\),然后利用这些点构造一个相对简单的函数 \(g(x)\) 来对原始函数进行近似。

如果 \(g(x)\) 满足对于所有 \(i = 0, \cdots, n\),都有 \(g(x_i) = f(x_i)\),那么我们称 \(g(x)\)\(f(x)\) 在这些点上的插值函数(interpolating function)。最常见的插值函数形式是代数多项式(algebraic polynomial)

Interpolation and Lagrange Polynomials

形式化地来说,我们的目标是找到一个 \(n\) 阶多项式 \(P_n(x) = a_0 + a_1 x + a_2 x^2 + \cdots + a_n x^n\),使得对于给定的一组数据点 \((x_0, y_0), (x_1, y_1), \cdots, (x_n, y_n)\),都有 $$ P_n(x_i) = y_i,\quad i = 0, 1, \cdots, n $$

注:对任何 \(i \neq j\),都有 \(x_i \neq x_j\)

\(n = 1\),给定 \((x_0, y_0)\)\((x_1, y_1)\),我们要找到多项式 \(P_1(x) = a_0 + a_1 x\),使得 \(P_1(x_0) = y_0\)\(P_1(x_1) = y_1\)

此时 \(P_1(x)\) 就是一个经过这两点的直线函数,即 $$ \begin{aligned} P_1(x) &= y_0 + \frac{y_1 - y_0}{x_1 - x_0} (x - x_0) \\\\ &= \frac{x - x_1}{x_0 - x_1} y_0 + \frac{x - x_0}{x_1 - x_0} y_1 \\\\ &= \sum_{i=0}^{1} L_{1,i}(x) y_i \end{aligned} $$

这里我们把 \(\dfrac{x - x_1}{x_0 - x_1}\)\(\dfrac{x - x_0}{x_1 - x_0}\) 分别记为 \(L_{1,0}(x)\)\(L_{1,1}(x)\),它们被称为拉格朗日基函数(Lagrange Basis)

他们满足 Kronecker Delta 函数: $$ L_{n,i}(x_j) = \delta_{ij} = \begin{cases} 1, & i = j \\ 0, & i \neq j \end{cases} $$

接下来我们推广到 \(n \geqslant 1\) 时的情况

显然,构造出满足条件的 \(P_n(x)\) 等价于找到满足条件的 \(L_{n,i}(x)\),使得 \(P_n(x) = \sum_{i=0}^{n} L_{n,i}(x) y_i\),且 \(L_{n,i}(x_j) = \delta_{ij}\)

分析可知,每个 \(L_{n,i}(x)\) 都是一个 \(n\) 阶多项式,它的根分别为 \(x_0, x_1, \cdots, x_{i-1}, x_{i+1}, \cdots, x_n\),因此我们可以将 \(L_{n,i}(x)\) 写成如下形式: $$ L_{n,i}(x) = C_i (x - x_0)(x - x_1) \cdots (x - x_{i-1})(x - x_{i+1}) \cdots (x - x_n) = C_i \prod_{\substack{j = 0 \\ j \neq i}}^n (x - x_j) $$

带入 \(L_{n,i}(x_i) = 1\),我们可以解出 \(C_i = \prod\limits_{\substack{j = 0 \\ j \neq i}}^n\dfrac{1}{ (x_i - x_j)}\),因此我们得到了 \(L_{n,i}(x)\) 的解析表达式: $$ L_{n,i}(x) = \prod_{\substack{j = 0 \\ j \neq i}}^n \frac{x - x_j}{x_i - x_j} $$

于是我们根据拉格朗日基函数构造出了 \(n\) 次的拉格朗日插值多项式: $$ P_n(x) = \sum_{i=0}^{n} L_{n,i}(x) y_i = \sum_{i=0}^{n} \left( \prod_{\substack{j = 0 \\ j \neq i}}^n \frac{x - x_j}{x_i - x_j} \right) y_i $$

插值多项式的唯一性

\(x_0, x_1, \cdots, x_n\) 是区间 \([a, b]\) 上的 \(n + 1\) 个两两不同的点,则对于任意给定的函数值 \(y_0, y_1, \cdots, y_n\),存在且仅存在一个唯一的 \(n\) 次拉格朗日插值多项式 \(P_n(x)\),使得对于所有 \(i = 0, 1, \cdots, n\),都有 \(P_n(x_i) = y_i\)

Proof

使用反证法。如果存在两个多项式 \(P_n(x)\)\(Q_n(x)\),都满足插值条件。那么我们可以得到一个新的多项式 \(D_n(x) = P_n(x) - Q_n(x)\),它的次数不会超过 \(n\),但是它有 \(n + 1\) 个不同的根 \(x_0, x_1, \cdots, x_n\)

这显然与它的次数不超过 \(n\) 矛盾,因此假设不成立,插值多项式是唯一的。

Note

插值多项式不是唯一的,除非它的阶数被约束在不超过 \(n\) 的范围内。

也就是说,当我们对 \(n\) 个点使用超过 \(n\) 阶的多项式进行插值时,可能会有多个不同的多项式满足插值条件。

例如 $$ P(x) = L_n(x) + p(x) \prod_{i=0}^{n} (x - x_i) $$

其中 \(L_n(x)\)\(n\) 次插值多项式,\(p(x)\) 是任意的非零多项式。那么 \(P(x)\) 也是一个满足插值条件的多项式。

Analyze the Remainder

下面我们来分析拉格朗日插值法的余项(即分析误差)。

假设 \(a \leqslant x_0 < x_1 < \cdots < x_n \leqslant b\),且函数 \(f \in C^{n+1}[a, b]\)\(P(x)\)\(f(x)\)\(x_0, \cdots, x_n\) 上的拉格朗日插值多项式,那么对于任意 \(x \in [a, b]\),都存在 \(\xi \in (a, b)\),使得 $$ R_n(x) = f(x) - P_n(x) = \frac{f^{(n+1)}(\xi)}{(n+1)!} \prod_{i = 0}^n (x - x_i) $$

上式的证明

考虑截断误差 \(R_n(x) = f(x) - P_n(x)\),显然它在 \(x_0, x_1, \cdots, x_n\) 处均为零。因此 \(R(x)\) 有至少 \(n + 1\) 个不同的根,同时它的次数不超过 \(n + 1\),因此 \(R_n(x)\) 可以表示为 $$ R_n(x) = K(x) \prod_{i=0}^{n} (x - x_i) $$

对于任意一个固定的点 \(x \in [a, b]\)\(x \neq x_i\),我们定义一个辅助函数(此时 \(K(x)\) 是一个常数) $$ g(t) = R_n(t) - K(x) \prod_{i=0}^{n} (t - x_i) $$

则有 \(g(x_i) = 0\)\(i = 0, 1, \cdots, n\),且 \(g(x) = 0\)。因此 \(g(t)\) 在区间 \([a, b]\) 上至少有 \(n + 2\) 个不同的根。

根据推广的 Rolle 定理,存在 \(\xi_x \in (a, b)\),使得 \(g^{(n+1)}(\xi_x) = 0\)。计算 \(g^{(n+1)}(t)\) 可得 $$ \begin{aligned} 0 = g^{(n+1)}(\xi_x) &= R_n^{(n+1)}(\xi_x) - K(x) (n + 1)! \\ &= [f^{(n+1)}(\xi_x) - P_n^{(n+1)}(\xi_x)] - K(x) (n + 1)! \\ &= f^{(n+1)}(\xi_x) - K(x) (n + 1)! \end{aligned} $$

因为 \(P_n(x)\)\(n\) 次多项式,所以 \(P_n^{(n+1)}(x) = 0\)

于是我们就可以得到 $$ K(x) = \frac{f^{(n+1)}(\xi_x)}{(n + 1)!} $$

从而知道截断误差为 $$ R_n(x) = \frac{f^{(n+1)}(\xi_x)}{(n + 1)!} \prod_{i=0}^{n} (x - x_i) $$

Note

  • 因为通常而言 \(\xi_x\) 是多少无法确定,因此我们会使用 \(f^{(n+1)}(x)\) 的上界来估计余项

    也就是说,寻找一个估计值 \(M_{n+1}\),使得对于所有 \(x \in [a, b]\),都有 \(|f^{(n+1)}(x)| \leqslant M_{n+1}\),因此可以取 \(|\ R_n(x)| \leqslant \dfrac{M_{n+1}}{(n + 1)!} \prod\limits_{i=0}^{n} |x - x_i|\) 为总误差的上界

  • 对于任意阶数 $ \leqslant n$ 的多项式函数 \(f\) 而言,插值多项式是精确的,因为 \(f^{(n+1)}(x) = 0\),因此余项 \(R_n(x) = 0\)

Example

假设 \(x \in [0, 1]\) 的函数 \(f(x) = e^x\) 做一个表格,表格中的每一项精确到 8 位小数,步长为 \(h\)。为使线性插值(即一次的拉格朗日插值)的绝对误差不超过 \(10^{-6}\),步长 \(h\) 最多应取多大?

答:

假设把 \([0, 1]\) 分成 \(n\) 个等间距的子区间 \([x_0, x_1], \cdots, [x_{n-1}, x_n]\),其中 \(x_0 = 0, x_n = 1\)。对于 \(x \in [x_k, x_{k+1}]\),那么这个区间内的误差估计为: $$ \begin{aligned} |f(x) - P_1(x)| &= \left| \frac{f^{(2)}(\xi)}{2!} (x - x_k)(x - x_{k+1}) \right| \\ &= \left| \frac{e^{\xi}}{2} (x - kh)(x - (k+1)h) \right| \\ &\leqslant \frac{e}{2} \cdot \frac{h^2}{4} = \frac{e h^2}{8} \end{aligned} $$

根据题目要求 $$ \frac{e h^2}{8} \leqslant 10^{-6} \quad \Longrightarrow \quad h \leqslant \sqrt{\frac{8 \times 10^{-6}}{e}} \approx 1.72 \times 10^{-3} $$

给定 \(\sin \dfrac{\pi}{6} = \dfrac{1}{2},\ \sin \dfrac{\pi}{4} = \dfrac{1}{\sqrt{2}},\ \sin \dfrac{\pi}{4} = \dfrac{\sqrt{3}}{2}\) 使用关于 \(\sin x\) 的线性以及二次拉格朗日多项式,计算 \(\sin 50^\circ\) 并估计误差。(已知 \(\sin 50^\circ \approx 0.7660444\)

答:

  • 线性插值:由于我们有三个点,可以考虑分别使用 \(x_0, x_1\)\(x_1, x_2\) 来做线性插值。

    1. 使用 \(x_0 = \dfrac{\pi}{6},\ x_1 = \dfrac{\pi}{4}\) $$ \begin{aligned} P_1(x) &= \frac{x - \frac{\pi}{4}}{\frac{\pi}{6} - \frac{\pi}{4}} \cdot \frac{1}{2} + \frac{x - \frac{\pi}{6}}{\frac{\pi}{4} - \frac{\pi}{6}} \cdot \frac{1}{\sqrt{2}} \\ &= \frac{3}{\pi} x + \left( \frac{1}{\sqrt{2}} - \frac{1}{2} \right) \end{aligned} $$

      代入 \(x = 50^\circ = \dfrac{5\pi}{18}\) 可得 $$ \sin 50^\circ \approx P_1(\frac{5\pi}{18}) = \frac{5}{6} + \left( \frac{1}{\sqrt{2}} - \frac{1}{2} \right) \approx 0.77614 $$

      因为 \(f(x) = \sin x\),所以 \(f^{(2)}(x) = -\sin x\),对 $ \xi_x \in (\dfrac{\pi}{6}, \dfrac{\pi}{4})$ 上,\(|f^{(2)}(\xi_x)| \in (\dfrac{1}{2}, \dfrac{\sqrt{2}}{2})\) $$ R_1(x) = \frac{f^{(2)}(\xi_x)}{2!} (x - x_0)(x - x_1) $$

      得到 \(-0.01319 < R_1(\dfrac{5\pi}{18}) < -0.00762\)

      因此外推误差(Extrapolation Error)\(\approx -0.01001\)

    2. 使用 \(x_1 = \dfrac{\pi}{4},\ x_2 = \dfrac{\pi}{3}\)

      同理可以得到 \(\sin 50^\circ \approx 0.76008\),误差范围为 \(0.00538 < R_1(\dfrac{5\pi}{18}) < 0.00660\),插值误差(Interpolation Error)\(\approx 0.00596\)

    Note

    • 外推(extrapolation)是指在已知数据点的范围之外进行估计
    • 插值(interpolation)则是在已知数据点的范围之内进行估计
    • 一般而言,插值的结果会比外推更准确
  • 二次插值:

    Tip

    通常而言,更高次数的拉格朗日插值会比低次的更加准确,但这未必永远成立。

Neville's Method

拉格朗日多项式的缺点

当我们发现拉格朗日插值法的精度不够时,会考虑使用更多的插值点,但是这样以来新的拉格朗日基函数与先前低次的基函数并不兼容,因此需要重新计算。

接下来介绍的 Neville 方法可以在增加插值点时,复用之前的计算结果,从而提高计算效率。

Definition

设函数 \(f\)\(x_0, \cdots, x_n\) 上有定义,并假设 \(m_1, \cdots, m_k\)\(k\) 个不同的整数,且对于每个 \(i\) 都满足 \(0 \leqslant m_i \leqslant n\)。我们把在 \(x_{m_1}, \cdots, x_{m_k}\)\(k\) 个点上与 \(f(x)\) 具有相同值的拉格朗日多项式记作 \(P_{m_1, m_2, \cdots, m_k}(x)\)

Theorem

设函数 \(f\)\(x_0, \cdots, x_n\) 上有定义,且 \(x_i, x_j\) 是其中两个不同的数,那么 $$ P(x) = \frac{(x - x_j) P_{0, 1, \cdots, j-1, j+1, \cdots, k}(x) - (x - x_i) P_{0, 1, \cdots, i-1, i+1, \cdots, k}(x)}{x_i - x_j} $$

描述了在 \(x_0, x_1, \cdots, x_k\)\(k+1\) 个点上与 \(f(x)\) 具有相同值的 \(k\) 次拉格朗日多项式。

Proof

  • 对于任意 \(0 \leqslant r \leqslant k\)\(r \neq i, r \neq j\),分子上的两个插值多项式在 \(x_r\) 处都分别等于 \(f(x_r)\),因此 \(P(x_r) = f(x_r)\)
  • 分子上的第一个插值多项式在 \(x_i\) 处等于 \(f(x_i)\),此时第二个插值多项式等于 \(0\),因此 \(P(x_i) = f(x_i)\)。同理,\(P(x_j) = f(x_j)\)
  • 因此我们得到了在 \(x_0, x_1, \cdots, x_k\)\(k+1\) 个点上对 \(f(x)\) 进行插值的 \(k\) 阶拉格朗日多项式,根据前面所述,这个多项式是唯一的

基于上述定理,我们知道拉格朗日插值多项式是可以递归生成的,例如它们可以按照如下表所示的方法一行一行地生成插值多项式: $$ \begin{array}{llllll} x_0 & P_{0} & & & & \\ x_1 & P_{1} & P_{0,1} & & & \\ x_2 & P_{2} & P_{1,2} & P_{0,1,2} & & \\ x_3 & P_{3} & P_{2,3} & P_{1,2,3} & P_{0,1,2,3} & \\ x_4 & P_{4} & P_{3,4} & P_{2,3,4} & P_{1,2,3,4} & P_{0,1,2,3,4} \\ \end{array} $$

这个过程被称作 Neville 方法(Neville's Method)

递归生成的方法

  • 当只有一个插值点 \(x_i\) 时,插值多项式为常值函数(函数值本身) $$ P_i(x) = f(x_i) $$

  • 对于有多个插值点 \(x_i, \cdots, x_j\) 的情况,根据前一步构造出来的多项式 \(P_{i \cdots j-1}\)\(P_{i-1 \cdots j}\),依照上面的公式生成新的插值多项式 \(P_{i \cdots j}\) $$ P_{i \cdots j}(x) = \frac{(x - x_j) P_{i \cdots j-1}(x) - (x - x_i) P_{i-1 \cdots j}(x)}{x_i - x_j} $$

也就是说,这些插值多项式是逐列生成的,先得到第一列的插值多项式,然后计算得到第二列的多项式,依此类推...

但是 \(P\) 的记号显然有些过于笨重和繁琐了,我们可以改用新的记号: $$ Q_{i, j} = P_{i-j, i-j+1, \cdots, i} $$

其中 \(j\) 表示插值多项式的阶数,\(i\) 表示插值多项式所使用的最后一个点的下标。因此上面的表格可以改写为: $$ \begin{array}{llllll} x_0 & Q_{0, 0} & & & & \\ x_1 & Q_{1, 0} & Q_{1, 1} & & & \\ x_2 & Q_{2, 0} & Q_{2, 1} & Q_{2, 2} & & \\ x_3 & Q_{3, 0} & Q_{3, 1} & Q_{3, 2} & Q_{3, 3} & \\ x_4 & Q_{4, 0} & Q_{4, 1} & Q_{4, 2} & Q_{4, 3} & Q_{4, 4} \\ \end{array} $$

同时上面定理给出的递推公式可以改写为 $$ Q_{i, j} = \frac{(x - x_{i-j}) Q_{i, j-1} - (x - x_i) Q_{i-1, j-1}}{x_i - x_{i-j}} $$

Neville 方法的伪代码

Divided Differences

差商

差商(divided differences)是一个用于表示函数在一组点上的变化率的概念。它们在数值分析中,特别是在插值和数值微分中起着重要作用。

  • 1 阶差商: $$ f[x_i, x_j] = \frac{f(x_j) - f(x_i)}{x_j - x_i}, i \neq j $$

  • 2 阶差商: $$ f[x_i, x_j, x_k] = \frac{f[x_j, x_k] - f[x_i, x_j]}{x_k - x_i}, i, j, k \text{互不相同} $$

  • \(k+1\) 阶差商: $$ \begin{aligned} f[x_0, x_1, \cdots, x_{k+1}] &= \frac{f[x_1, x_2, \cdots, x_k] - f[x_1, x_1, \cdots, x_{k+1}]}{x_0 - x_{k+1}} \\ &= \frac{f[x_1, x_2, \cdots, x_k] - f[x_0, x_1, \cdots, x_{k+1}]}{x_k - x_{k+1}} \end{aligned} $$

事实上, $$ f[x_0, x_1, \cdots, x_k] = \sum_{i=0}^{k} \frac{f(x_i)}{\omega'_{k+1}(x_i)} $$

其中 \(\omega_{k+1}(x) = \prod\limits_{i=0}^{k} (x - x_i)\)\(\omega'_{k+1}(x_i) = \prod\limits_{\substack{j=0 \\ j \neq i}}^{k} (x_i - x_j)\)\(\omega_{k+1}(x)\)\(x_i\) 处的导数。

Tip

\(f[x_0, x_1, \cdots, x_k]\) 的值与 \(x_0, x_1, \cdots, x_k\) 的顺序无关。

Newton’s Interpolation

我们的目标是得到一个 \(n\) 阶多项式,它形如 $$ N_n(x) = a_0 + a_1 (x - x_0) + a_2 (x - x_0)(x - x_1) + \cdots + a_n (x - x_0) \cdots (x - x_{n-1}) $$

我们将各阶差商依次展开,得到 $$ \begin{cases} f(x) = f(x_0) + (x-x_0) f[x, x_0] & (1) \\ f[x, x_0] = f[x_0, x_1] + (x - x_1) f[x, x_0, x_1] & (2) \\ \cdots \\ f[x, x_0, x_1, \cdots, x_{n-1}] = f[x_0, x_1, \cdots, x_n] + (x - x_n) f[x, x_0, x_1, \cdots, x_n] & (n+1) \end{cases} $$

计算 \((1) + (x-x_0) \times (2) + \cdots + (x-x_0) \cdots (x-x_{n-1}) \times (n+1)\),得到 $$ \begin{aligned} f(x) &= \textcolor{red}{f(x_0) + f[x_0, x_1] (x-x_0) + f[x_0, x_1, x_2] (x-x_0)(x-x_1) + \cdots} \\ &\quad \textcolor{red}{+ f[x_0, x_1, \cdots, x_n] (x-x_0)(x-x_1) \cdots (x-x_{n-1})} \\ &\quad + f[x, x_0, x_1, \cdots, x_n] (x - x_0) \cdots (x-x_{n-1})(x - x_n) \end{aligned} $$

上式中的红色部分就是所想要求出的 \(N_n(x)\),而最后一项则是截断误差 \(R_n(x)\),并且不难注意到 $$ a_i = f[x_0, x_1, \cdots, x_i],\quad i = 0, 1, \cdots, n $$

Note

  • 由于 \(n\) 阶的插值多项式是唯一的,因此 \(N_n(x)\)\(P_n(x)\) 是相同的多项式(\(N_n(x) \equiv P_n(x)\)),只是它们的表达形式不同而已。
  • 他们都有相同的截断误差,即 $$ \begin{aligned} & f[x, x_0, x_1, \cdots, x_n] \omega_{n+1}(x) = \frac{f^{(n+1)}(\xi_x)}{(n+1)!} \omega_{n+1}(x) \\ & \Longrightarrow f[x_0, x_1, \cdots, x_k] = \frac{f^{(k)}(\xi_x)}{k!},\quad \xi_x \in (x_{min}, x_{max}) \end{aligned} $$

  • Newton 形式的插值多项式在增加新的插值点时,也可以复用之前的计算结果,求解过程与 Neville 方法类似。 $$ \begin{array}{llllll} f(x_0) & & & & & \\ f(x_1) & f[x_0, x_1] & & & & \\ f(x_2) & f[x_1, x_2] & f[x_0, x_1, x_2] & & & \\ \cdots & & & & & \\ f(x_n) & f[x_{n-1}, x_n] & f[x_{n-2}, x_{n-1}, x_n] & \cdots & f[x_0, \cdots, x_n] \\ f(x_{n+1}) & f[x_n, x_{n+1}] & f[x_{n-1}, x_n, x_{n+1}] & \cdots & f[x_1, \cdots, x_{n+1}] & f[x_0, \cdots, x_{n+1}] \\ \end{array} $$

具体的计算方法是用前一列的两个差分来计算新的差分,例如用 \(f(x_0)\)\(f(x_1)\) 计算 \(f[x_0,x_1]\),用 \(f[x_0,x_1]\)\(f[x_1,x_2]\) 计算 \(f[x_0,x_1,x_2]\)

Newton 插值差商公式的伪代码

Formulae with Equal Spacing

如果插值节点是等距分布的,即 \(x_i = x_0 + i h\),其中 \(h\) 是步长,那么我们可以使用差分(differences)来简化计算。

  • 前向差分(forward differences): $$ \Delta f(x_i) = f(x_{i+1}) - f(x_i) $$ $$ \Delta^k f(x_i) = \Delta^{k-1} f(x_{i+1}) - \Delta^{k-1} f(x_i) $$

  • 后向差分(backward differences): $$ \nabla f(x_i) = f(x_i) - f(x_{i-1}) $$ $$ \nabla^k f(x_i) = \nabla^{k-1} f(x_i) - \nabla^{k-1} f(x_{i-1}) $$

  • 中心差分(central differences): $$ \delta f(x_i) = f(x_{i+\frac{1}{2}}) - f(x_{i-\frac{1}{2}}) $$ $$ \delta^k f(x_i) = \delta^{k-1} f(x_{i+\frac{1}{2}}) - \delta^{k-1} f(x_{i-\frac{1}{2}}) $$

    其中 \(f(x_{i \pm \frac{1}{2}}) = f(x_i \pm \frac{h}{2})\)

差分的一些重要性质

  • 线性:\(\Delta (a \cdot f(x) + b \cdot g(x)) = a \Delta f(x) + b \Delta g(x)\)
  • 如果 \(f(x)\)\(m\) 阶多项式,那么 \(\Delta^k f(x)\ (0 \leqslant k \leqslant m)\)\(m-k\) 阶多项式,且 \(\Delta^k f(x) = 0\ (k > m)\)
  • 我们还可以通过以下这些函数得到差分的值:
    • \(\Delta^n f_k = \sum\limits_{i=0}^{n} (-1)^i \binom{n}{i} f_{n+k-i}\)
    • \(\nabla^n f_k = \sum\limits_{i=0}^{n} (-1)^{n-i} \binom{n}{i} f_{k+i-n}\)
  • 反之,我们也可以从差分中恢复出函数值:
    • \(f_{n+k} = \sum\limits_{i=0}^{n} \binom{n}{i} \Delta^i f_k\)
  • 我们也可以从差分中得到差商的值
    • \(f[x_0, \cdots, x_k] = \dfrac{\Delta^k f_0}{k! h^k}\)
    • \(f[x_n, x_{n-1}, \cdots, x_{n-k}] = \dfrac{\nabla^k f_n}{k! h^k}\)
    • 因此结合余项的公式 \(R_n(x) = f[x_0, \cdots, x_k] \omega_{n}(x) = \dfrac{f^{(n)}(\xi_x)}{n!} \omega_{n}(x)\),我们可以得到 $$ f^{(n)}(\xi_x) = \frac{\Delta^n f_0}{h^n} $$

Summary

牛顿插值的形式为 $$ N_n(x) = f(x_0) + f[x_0, x_1] (x - x_0) + \cdots + f[x_0, \cdots, x_n] (x - x_0) \cdots (x - x_{n-1}) $$

  • 牛顿前向差分公式(Newton forward-difference formula)

    \(x = x_0 + th\),则 $$ \begin{aligned} N_n(x) &= N_n(x_0 + th) = \sum_{k=0}^{n} \binom{t}{k} \Delta^k f(x_0) \\ &= f(x_0) + t \Delta f(x_0) + \frac{t(t-1)}{2!} \Delta^2 f(x_0) + \cdots + \frac{t(t-1) \cdots (t - n + 1)}{n!} \Delta^n f(x_0) \\ R_n(x) &= \frac{f^{(n+1)}(\xi_x)}{(n+1)!} t(t-1) \cdots (t-n) h^{n+1},\quad \xi_x \in (x_0, x_n) \end{aligned} $$

  • 牛顿后向差分公式(Newton backward-difference formula)

    把点的顺序颠倒,即计算 $$ N_n(x) = f(x_n) + f[x_n, x_{n-1}] (x - x_n) + \cdots + f[x_n, x_{n-1}, \cdots, x_0] (x - x_n) \cdots (x - x_1) $$

    \(x = x_n + th\),则 $$ N_n(x) = N_n(x_n + th) = \sum_{k=0}^{n} (-1)^k \binom{-t}{k} \nabla^k f(x_n) $$

Hermite Interpolation

密切多项式

\(x_0, x_1, \cdots, x_n\) 是区间 \([a, b]\) 上的 \(n + 1\) 个两两不同的点,\(m_i\) 是与 \(x_i\) 相关联的非负整数,且设 \(f \in C^m[a, b]\),其中 \(m = \max\limits_{0 \leqslant i \leqslant n} m_i\)。那么在 \([a, b]\) 上逼近 \(f(x)\) 的密切多项式是为满足以下条件的阶数最小的多项式 \(P(x)\): $$ \frac{d^k P(x_i)}{dx^k} = \frac{d^k f(x_i)}{dx^k},\quad i = 0, 1, \cdots, n;\ k = 0, 1, \cdots, m_i $$

具体来说,\(P(x)\) 在每个插值点 \(x_i\) 处不仅与 \(f(x)\) 的函数值相等,而且它们的前 \(m_i\) 阶导数值也相等。

  • 相比于之前提到的插值多项式,密切多项式还要求导数值也相等,因此会得到更准确、更光滑的插值曲线
  • 密切多项式是一个次数至多为 \(\sum\limits_{i=0}^{n} m_i + n\) 的多项式,因为它需要满足 \(\sum\limits_{i=0}^{n} (m_i + 1) = \sum\limits_{i=0}^{n} m_i + (n + 1)\) 个条件

我们的目标是找到一个密切多项式,使得对于所有的 \(i = 0, 1, \cdots, n\)\(k = 0, 1, \cdots, m_i\),都有 $$ P^{(k)}(x_i) = f^{(k)}(x_i) $$

Note

  • 给定 \(N\) 个条件(即 \(N\) 个方程),我们可以唯一确定一个次数不超过 \(N - 1\) 的多项式
  • 在一个点 \(x_0\) 上,与 \(f\) 及其前 \(m_0\) 阶导数相等的密切多项式就是一个泰勒多项式 $$ P(x) = f(x_0) + f'(x_0)(x - x_0) + \cdots + \frac{f^{(m_0)}(x_0)}{m_0!} (x - x_0)^{m_0} $$

    且它的余项为 $$ R(x) = f(x) - \varphi(x) = \frac{f^{(m_0 + 1)}(\xi_x)}{(m_0 + 1)!} (x - x_0)^{m_0 + 1} $$

  • 当对任意的 \(i = 0, 1, \cdots, n\),都有 \(m_i = 0\) 时,密切多项式就退化为拉格朗日插值多项式

  • 当对任意的 \(i = 0, 1, \cdots, n\),都有 \(m_i = 1\) 时,密切多项式就退化为 Hermite 插值多项式

由上可知,Hermite 多项式及其一阶导数与目标函数 \(f\) 及其导数 \(f'\) 在插值点处分别相等。

一个特殊的例子

假设 \(x_0 \neq x_1 \neq x_2\),给定 \(f(x_0), f(x_1), f(x_2)\) 以及 \(f'(x_1)\),我们希望找到一个多项式 \(P(x)\),使得 \(P(x_i) = f(x_i),\ i = 0, 1, 2\)\(P'(x_1) = f'(x_1)\)

上面给出了 4 个条件(3 个函数值和 1 个导数值),\(P(x)\) 的次数不超过 3。类似于拉格朗日多项式,我们假设 Hermite 多项式可以表示为如下的形式: $$ P_3(x) = \sum_{i=0}^{2} f(x_i) h_i(x) + f'(x_1) \hat{h}_1(x) $$

接着根据已知条件使用待定系数法可以得到 $$ h_i(x_j) = \delta_{ij},\quad h_i'(x_1) = 0,\quad \hat{h}_1(x_i) = 0,\quad \hat{h}_1'(x_1) = 1 $$

  • \(h_0(x)\):有根 \(x_1, x_2\),且 \(h_0'(x_1) = 0\),因此 \(x_1\) 是一个重根,假设它的形式为 $$ h_0(x) = C_0 (x - x_1)^2 (x - x_2) $$

    代入 \(h_0(x_0) = 1\) 可得 \(C_0 = \dfrac{1}{(x_0 - x_1)^2 (x_0 - x_2)}\),因此 $$ h_0(x) = \frac{(x - x_1)^2 (x - x_2)}{(x_0 - x_1)^2 (x_0 - x_2)} $$

  • \(h_2(x)\):与 \(h_0(x)\) 类似

  • \(h_1(x)\):有根 \(x_0, x_2\),因此 \(h_1(x)\) 的形式为 $$ h_1(x) = (Ax + b)(x - x_0)(x - x_2) $$

    其中 \(A\)\(B\) 可以通过 \(h_1(x_1) = 1\)\(h_1'(x_1) = 0\) 求解得到,具体过程省略。

  • \(\hat{h}_1(x)\):有根 \(x_0, x_1, x_2\),因此 \(\hat{h}_1(x)\) 的形式为 $$ \hat{h}_1(x) = C_1 (x - x_0)(x - x_1)(x - x_2) $$

    结合 \(\hat{h}_1'(x_1) = 1\) 可以求解出 \(C_1 = \dfrac{1}{(x_1 - x_0)(x_1 - x_2)}\)

它的误差分析与拉格朗日插值类似,可以得到 $$ \begin{aligned} R_3(x) &= f(x) - P_3(x) \ &= K(x) (x - x_0)^2 (x - x_1)^2 (x - x_2), \end{aligned} $$

其中 \(K(x) = \dfrac{f^{(4)}(\xi_x)}{4!},\ \xi_x \in (a, b)\)

一般来说,给定 \(n + 1\) 个插值点 \(x_0, x_1, \cdots, x_n\),和目标函数值 \(y_i = f(x_i)\) 以及导数值 \(y_i' = f'(x_i)\),Hermite 插值多项式 \(H_{2n+1}(x)\) 的阶数不超过 \(2n + 1\)(因为这里有 \(2n + 2\) 个条件),并且满足 \(H_{2n+1}(x_i) = y_i\)\(H'_{2n+1}(x_i) = y_i'\)

使用待定系数法求解 Hermite 多项式

根据上述条件,并且参考我们刚刚给出的例子,我们可以假设 Hermite 多项式的形式为 $$ H_{2n+1}(x) = \sum_{i=0}^{n} y_i h_i(x) + \sum_{i=0}^{n} y_i' \hat{h}_i(x) $$

其中 $$ \begin{cases} h_i(x_j) = \delta_{ij}, & h_i'(x_j) = 0 \\ \hat{h}_i(x_j) = 0, & \hat{h} _ i'(x_j) = \delta _ {ij} \\ \end{cases} $$

  • \(h_i(x)\):对应于函数值 \(y_i\)

    • 它在 \(x_j\ (j \neq i)\) 处有根,同时因为 \(h_i'(x_j) = 0,\ (j \neq i)\),所以所有的 \(x_j\) 都是一个重根,因此它的形式为 $$ \begin{aligned} h_i(x) &= (A_i' x + B_i') \prod_{\substack{j=0 \\ j \neq i}}^{n} (x - x_j)^2 \\ &= (A_i x + B_i) L_{n,i}^2(x) \end{aligned} $$

    Tip

    注意这里的常系数有所改变,因为 \(L_{n,i}^2(x)\) 自身会带有一个额外的系数 $$ L_{n,i}(x) = \prod\limits_{\substack{j=0 \\ j \neq i}}^{n} \frac{x - x_j}{x_i - x_j} $$

    • \(A_i\)\(B_i\) 可以通过 \(h_i(x_i) = 1\)\(h_i'(x_i) = 0\) 求解得到。
    • 最终得到的结果是 $$ h_i(x) = \left[ 1 - 2 (x - x_i) L _ {n,i}'(x_i) \right] L _ {n,i}^2(x) $$
  • \(\hat{h}_i(x)\):对应于导数值 \(y_i'\)

    • 它在所有的 \(x_j\) 处都有根,并且因为 \(\hat{h}_i'(x_j) = 0,\ (j \neq i)\)\(\hat{h}_i'(x_j) = 1\),所以所有的 \(x_j\ (j \neq i)\) 都是一个重根,而 \(x_i\) 则是一个单根,因此它的形式为 $$ \hat{h} _ i(x) = C _ i (x - x _ i) L _ {n,i}^2(x) $$

    • 结合 \(\hat{h}_i'(x_i) = 1\) 可以求解出 \(C_i = 1\)

    • 因此最终得到的结果是 $$ \hat{h} _ i(x) = (x - x_i) L _ {n,i}^2(x) $$

如果 \(a = x_0 < x_1 < \cdots < x_n = b,\, f \in C^{2n}[a, b]\),那么 Hermite 多项式的误差为 $$ R_n(x) = f(x) - H_{2n+1}(x) = \frac{f^{(2n+2)}(\xi_x)}{(2n+2)!} \left[ \prod_{i=0}^{n} (x - x_i) \right]^2,\quad \xi_x \in (a, b) $$

Cubic Spline Interpolation

Piecewise-polynomial Approximation

最简单的一种分段多项式逼近是分段使用线性逼近,即在每一个子区间 \([x_i, x_{i+1}]\) 上使用线性多项式近似表示 \(f(x)\): $$ f(x) \approx P_1(x) = \frac{x - x_{i+1}}{x_i - x_{i+1}} f(x_i) + \frac{x - x_i}{x_{i+1} - x_i} f(x_{i+1}),\quad x \in [x_i, x_{i+1}] $$ 但很显然分段线性逼近得到的函数并不光滑,我们希望使用更高次的多项式来逼近 \(f(x)\)

一种可选择的方法是改用 Hermite 插值多项式:如果 \(f\)\(f'\) 的值在每一个点 \(x_i\) 处都是已知的,那么我们可以在每一个子区间 \([x_i, x_{i+1}]\) 上使用 Hermite 三次多项式来逼近 \(f(x)\)。这样的逼近比较光滑,但是我们需要知道所有的导数值 \(f'(x_i)\),这在实际应用中并不总是可行的。

为此,我们可以使用三次样条插值(cubic spline interpolation)来逼近 \(f(x)\)

Cubic Spline Interpolation

三次条样插值

给定一个定义在 \([a, b]\) 上的函数 \(f\) 以及一组节点 \(a = x_0 < x_1 < \cdots < x_n = b\)。三次样条插值器(cubic spline interpolant)是一个分段三次多项式 \(S(x)\),它满足以下条件:

  1. \(S(x)\) 是一个分段函数,在每一个子区间 \([x_i, x_{i+1}]\) 上都是一个三次多项式,即 $$ S(x) = S_i(x),\quad x \in [x_i, x_{i+1}],\quad i = 0, 1, \cdots, n-1 $$
  2. \(S(x_i) = f(x_i),\quad i = 0, 1, \cdots, n\)

    • \(S(x)\) 在每一个节点处都与 \(f(x)\) 的值相等
  3. \(S_{i+1}(x_{i+1}) = S_i(x_{i+1}),\quad i = 0, 1, \cdots, n-2\)

    • \(S(x)\) 在每一个内部节点处都是连续的
  4. \(S'_{i+1}(x_{i+1}) = S'_i(x_{i+1}),\quad i = 0, 1, \cdots, n-2\)

    • \(S(x)\) 在每一个内部节点处的一阶导数都是连续的
  5. \(S''_{i+1}(x_{i+1}) = S''_i(x_{i+1}),\quad i = 0, 1, \cdots, n-2\)

    • \(S(x)\) 在每一个内部节点处的二阶导数都是连续的

后三个条件实际上保证了三次条样插值的光滑性

Method of Bending Moment

下面我们介绍一种构造三次样条插值的方法:

令步长 \(h_j = x_j - x_{j-1}\),并且对 \(x \in [x_{j-1}, x_j]\) 都有 \(S(x) = S_j(x)\)

因为 \(S(x)\) 在每一个子区间上都是一个三次多项式,因此 \(S_j''(x)\) 是一个一次多项式,它由这个区间的两个端点的值决定。假设 \(S_j''(x_{j-1}) = M_{j-1},\ S_j''(x_j) = M_j\)\(M_j\) 称为节点 \(x_j\) 处的弯矩(bending moment)),那么对于 \(x \in [x_{j-1}, x_j]\),有 $$ S_j''(x) = M_{j-1} \frac{x_j - x}{h_j} + M_j \frac{x - x_{j-1}}{h_j} $$ 积分两次,可以分别得到 $$ S_j'(x) = M_{j-1} \cdot \frac{(x_j - x)^2}{2} + M_j \cdot \frac{(x - x_{j-1})^2}{2h_j} + A_j $$ $$ S_j(x) = M_{j-1} \cdot \frac{(x_j - x)^3}{6h_j} + M_j \cdot \frac{(x - x_{j-1})^3}{6h_j} + A_j x + B_j $$ 其中 \(A_j\)\(B_j\) 是积分常数,可以通过 \(S_j(x_{j-1}) = y_{j-1}\)\(S_j(x_j) = y_j\) 求解得到: $$ \begin{aligned} A_j &= \dfrac{y_j - y_{j-1}}{h_j} - \dfrac{M_j - M_{j-1}}{6} h_j \\ A_j x + B_j &= \left( y_{j-1} - \dfrac{M_{j-1}}{6} h_j^2 \right) \dfrac{x_j - x}{h_j} + \left( y_j - \dfrac{M_j}{6} h_j^2 \right) \dfrac{x - x_{j-1}}{h_j} \end{aligned} $$

现在我们来求解 \(M_j\):因为 \(S'\)\(x_j\) 处连续,因此有

  • \([x_{j-1}, x_j]\): $$ S_j'(x) = -M_{j-1} \dfrac{(x_j - x)^2}{2h_j} + M_j \dfrac{(x - x_{j-1})^2}{2h_j} + f[x_{j-1}, x_j] - \dfrac{M_j - M_{j-1}}{6}h_j $$

  • \([x_j, x_{j+1}]\): $$ S_{j+1}'(x) = -M_j \dfrac{(x_{j+1} - x)^2}{2h_{j+1}} + M_{j+1} \dfrac{(x - x_j)^2}{2h_{j+1}} + f[x_j, x_{j+1}] - \dfrac{M_{j+1} - M_j}{6}h_{j+1} $$

又根据 \(S_j'(x_j) = S_{j+1}'(x_j)\),我们可以得到 \(M_{j-1},\ M_j,\ M_{j+1}\) 之间的关系:

定义 \(\lambda_j = \dfrac{h_{j+1}}{h_j + h_{j+1}},\ \mu_j = 1 - \lambda_j\) 以及 \(g_j = \dfrac{6}{h_j + h_{j+1}} (f[x_j, x_{j+1}] - f[x_{j-1}, x_j])\)

我们就可以得到 $$ \mu_j M_{j-1} + 2M_j + \lambda_j M_{j+1} = g_j $$ 其中 \(j = 1, 2, \cdots, n-1\)

下图是这个递推式的矩阵表示:

我们可以发现我们有 \(n-1\) 个方程,但是有 \(n+1\) 个未知数 \(M_0, M_1, \cdots, M_n\),因此我们还需要额外的两个边界条件来唯一确定这些未知数。

固定边界(clamped boundary)

固定边界的边界条件为 $$ S'(a) = y_0', S'(b) = y_n' $$

  • \([a, x_1]\): $$ S_1'(x) = -M_0 \dfrac{(x_1 - x)^2}{2h_1} + M_1 \dfrac{(x - a)^2}{2h_1} + f[x_0, x_1] - \dfrac{M_1 - M_0}{6}h_1 $$
  • \([x_{n-1}, b]\): $$ S_n'(x) = -M_{n-1} \dfrac{(b - x)^2}{2h_n} + M_n \dfrac{(x - x_{n-1})^2}{2h_n} + f[x_{n-1}, x_n] - \dfrac{M_n - M_{n-1}}{6}h_n $$

于是我们额外得到了两个方程: $$ \begin{cases} 2M_0 + M_1 = \dfrac{6}{h_1} (f[x_0, x_1] - y_0') \triangleq g_0 \\ M_{n-1} + 2M_n = \dfrac{6}{h_n} (y_n' - f[x_{n-1}, x_n]) \triangleq g_n \end{cases} $$

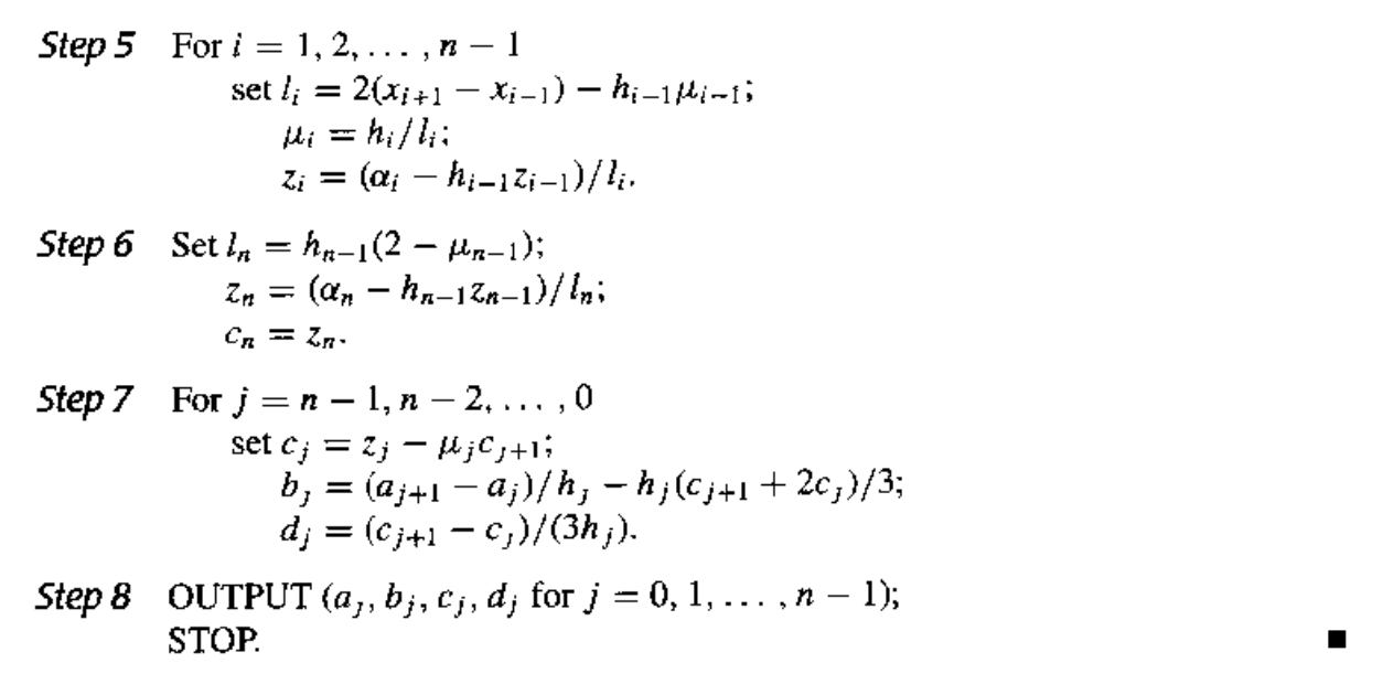
固定三次条样的伪代码

自然边界(natural boundary)

条样插值在两个端点处的二阶导为 $$ S''(a) = y_0'' = M_0, S''(b) = y_n'' = M_n $$

则有 $$ \begin{aligned} \lambda_0 &= 0,\quad g_0 = 2 y_0'' \\ \mu_n &= 0,\quad g_n = 2 y_n'' \end{aligned} $$

\(M_0 = M_n = 0\) 时,这个条件称为自由边界(free boundary),此时的条样插值称为自然三次条样插值(natural cubic spline interpolation),此时 \(g_0 = g_n = 0\)

自然三次条样的伪代码

周期边界

如果 \(f\) 是周期函数,即 \(y_n = y_0\)\(S'(a^+) = S'(b^-)\),那么我们可以推导出 \(M_0 = M_n\)

三次条样的性质

  • 只要系数矩阵严格对角占优(实际上是确保可逆),那么三次样条就可以由其边界条件唯一确定。
  • 如果 \(f \in C[a, b]\)\(\dfrac{\max h_i}{\min h_i} \leqslant C < \infty\),那么当 \(h_i \rightarrow 0\) 时,\(S(x) \xrightarrow{\text{uniform}} f(x)\)

    也就是说,在保证不增加样条阶数的情况下,可通过增加节点个数来提升近似精度

Comments